1. Giới thiệu chung về chất chống oxi hoá 1010
Chất chống oxi hoá 1010 hay còn được gọi là Anti- oxidant 1010, viết tắt là AO1010. Đây là chất chống oxi hoá phenolic có trọng lượng phân tử cao. Là loại phụ gia được thêm vào để bảo vệ polymer chống lại sự oxi hóa trong suốt quá trình gia công hoặc trong lúc sử dụng.
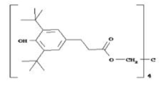
Tên hoá học: Pentaerythritol tetrakis-[3 -3,5-di-tert-butyl-4-hydroxyphenyl)propionate]
Công thức hoá học:

2. Thông số kĩ thuật
Dưới đây là thông số kĩ thuật của AO1010 mà MEGA Việt Nam đang cung cấp:

3. Cơ chế hoạt động của AO 1010
AO1010 là chất kháng oxy hóa thuộc họ phenolic, nó có tác dụng bảo vệ nhựa khỏi tác động của các gốc tự do và các tác nhân oxy hóa. Nhờ đó giúp cho phản ứng cắt mạch dây chuyền trong nhựa không xảy ra.
4. Ứng dụng của AO 1010
AO1010 giúp cho tính chất cơ lý của sản phẩm ổn định và kéo dài theo thời gian sử dụng, giúp tăng tuổi thọ sử dụng của sản phẩm. Nó còn bảo vệ các thành phần màu trong nhựa, giúp sản phẩm ít bị bay màu theo thời gian. AO1010 được sử dụng rộng rãi trong nhiều loại vật liệu polyme, chẳng hạn như polypropylene, polyethylene, polyester, polyurethane, polystyrene, polyxymethylene, PBT, ABS, polyamide, cao su tổng hợp, v.v. Nó cũng là chất chống oxy hóa cao cấp cho dầu tự nhiên và tổng hợp.
>> Xem ngay các loại hóa chất ngành cao su tốt nhất hiện nay trên thị trường <<< />m>
CÔNG TY TNHH THƯƠNG MẠI TỔNG HỢP MEGA VIỆT NAM
Địa chỉ: Tầng 2-A2-IA20, KĐT Nam Thăng Long, Đ. Phạm Văn Đồng, P. Đông Ngạc, Q. Bắc Từ Liêm, TP. Hà Nội.
Email: contact@megavietnam.vn; Tel: (+84) 24 375 89089;
Website: megavietnam.vn; Hotline: 1800.577.728; Zalo: 0971.023.523

